50+ Mathematics For Liberal Arts Students Images

View Spm Mathematics Formula Sheet Pictures

View Spm Mathematics Formula Sheet Pictures. Spm form 4 modern maths mathematics reasoning argument. However, more important is that you know how to apply those formulaes to solve your questions.

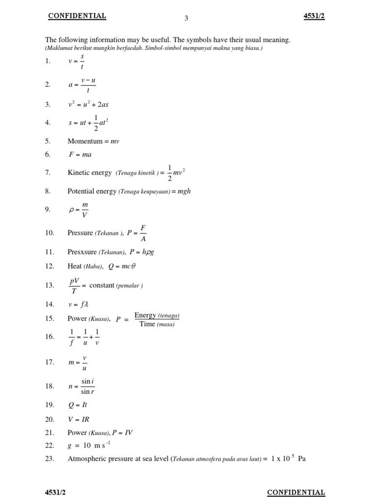
SPM Physics Formula List Form4 | Lens (Optics) | Acceleration
SPM Physics Formula List Form4 | Lens (Optics) | Acceleration from imgv2-2-f.scribdassets.com
With these pdfs, students can easily refresh their knowledge on every. List of formulae and statistical tables. This is not an exhaustive list, ie it's not here all math formulas that are used in mathematics class, only those that were considered most.

However, more important is that you know how to apply those formulaes to solve your questions.

Cambridge international as & a level mathematics (9709) and further mathematics (9231). Mathematics is a game played according to creative mathematicians now, as in the past, are inspired by the art of mathematics rather than by any prospect of ultimate usefulness. For use from 2020 in all papers for the above syllabuses. Learn vocabulary, terms and more with flashcards, games and other study tools.

Komentar